Penerangan Produk
Nama Bahasa Inggeris: Daunorubicin Hydrochloride
Nombor cas: 23541-50-6
Formula molekul: C27H29NO10.CLH
Berat molekul: 563.98
Nombor EINECS: 245-723-4
Kategori Berkaitan
Bahan mentah [untuk penyelidikan saintifik sahaja]; Antibiotik; Bahan mentah farmaseutikal; Bahan mentah farmaseutikal; Bahan mentah farmaseutikal, perantaraan; Antitumor; Penapaian; Perencat molekul kecil; Perantara farmaseutikal; Biologi sel; Bicins (anti-kanser); Reagen untuk penyelidikan saintifik; Ubat antikanser; Bioactive Small Molecule Chemicalbook; Bahan mentah farmaseutikal dan perantaraan; Siri ubat asal saintifik; Rujukan Perubatan Cina; Reagen biologi sel; Produk Kawalan - Produk Kawalan Perubatan Cina; Bahan mentah; Perantaraan; Bahan -bahan; Bahan mentah kimia; Farmaseutikal, racun perosak dan perantara pewarna; Reagen Kimia - Reagen Penyelidikan; Bahan kimia isi rumah; Reagen kimia; Bahan mentah kimia halus; Bahan mentah kimia; Industri kimia harian; perantaraan & bahan kimia halus; Farmaseutikal; Antitumour; Karbohidrat & derivatif; Reagen Chiral; Heterocycles; API; Anti-kanser & imuniti
Fail mol: 23541-50-6. Mol
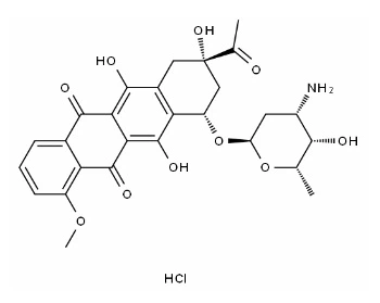
Formula Struktur:

Sifat Daunorubicin Hydrochloride
Titik lebur: 190 darjah (dec)
Putaran spesifik: D 20+248 ± 5 darjah (C =0. 05-0. 1Inmethanol)
Keadaan penyimpanan: inertatmosphere, 2-8 darjah
Kelarutan: larut dalam buku kimia dan metanol, sedikit larut dalam etanol, hampir tidak larut dalam aseton.
Borang: pepejal
Warna: merah ke dalam merah
Kelarutan Air: Solubleinwater (50mm)
Panjang gelombang maksimum (λmax): 477nm (H2O) (Lit.)
Sensitiviti: Hygroscopic
Merck: 14,2832
BRN: 4229221
Kestabilan: Kestabilan
Inchikey: Gughguxzjwaias-Smlrdaarna-n
Smiles: c 1= cc2c (= o) c 3= c (o) c4c [c@] (c (c)=o) (o) c [c@h] @H] (c) [c @@ h] (o) [c @@ h] (n) c5) c =4 c (o)=c3c (= o) C =2|& 1: 10,16,18,20,22,24, r |
Maklumat Kimia EPA: Daunorubicin Hydrochloride (23541-50-6)
Aplikasi dan sintesis daunorubicin hydrochloride
Pengenalan
Daunorubicin hydrochloride, sebagai ubat biasa yang digunakan dalam rawatan leukemia myeloid akut, leukemia limfoblastik akut, leukemia monocytic akut dan penyakit lain dalam jabatan hematologi, adalah generasi pertama antibiotik anthracycline. Sebagai tambahan kepada rawatan leukemia akut dan kronik, ia juga boleh digabungkan dengan prednisone, cytaarabine atau vinblastine untuk meningkatkan kesan anti-tumornya.
Mekanisme tindakan
Daunorubicin hydrochloride mempunyai kesan sitotoksik dan merupakan ubat sel tidak spesifik sel. Dengan memasukkan ke dalam sel sasaran, daunorubicin boleh memasukkan antara pasangan asas DNA yang bersebelahan, menghasilkan radikal bebas aktif, uncoil DNA double strand, memecahkan helai DNA, menghalang aktiviti templat asid nukleik, mengganggu proses transkripsi, dan mencegah sintesis mRNA. Mencapai sel -sel tisu untuk replikasi, ia juga boleh menyebabkan membran sel pecah, menyebabkan kematian sel, dan dengan itu memainkan peranan.
Tindakan farmakologi
Daunorubicin adalah agen anti-tumor khusus siklida. Kajian haiwan telah menunjukkan bahawa ia mempunyai kesan pemanjangan hidup pada leukemia L1210 tetikus, dan ia juga menunjukkan kesan tertentu pada aminomethylfolate, 6- mercaptopurine dan 5- sel-sel sel fluorouracil fluorouracil. Di samping itu, ia mempunyai kesan hidup terhadap tikus sarkoma Yoshida, dan ChemicalBook telah menunjukkan keberkesanan terhadap cyclophosphamide, triethiophosphamide, {7}} mercaptopurine, {8} Mekanisme tindakan daunorubicin terletak pada proses sintesis asid nukleik sel, yang boleh secara langsung mengikat DNA dan menghalang sintesis DNA dan tindak balas sintesis RNA yang bergantung kepada DNA.
Aplikasi klinikal
Sebagai tambahan kepada rawatan leukemia akut dan kronik, ia juga boleh digabungkan dengan prednisone, cytaarabine atau vinblastine untuk meningkatkan kesan anti-tumornya. Reagen penyelidikan saintifik, digunakan secara meluas dalam biologi molekul, farmakologi dan penyelidikan saintifik yang lain. Untuk neuroblastoma dan rhabdomyoma.
Farmakokinetik
Kepekatan darah dan erythrocytes 1 0 pesakit dewasa dengan leukemia masing -masing adalah 228 & MU, selepas suntikan intravena (40mg dibubarkan dalam garam normal 40ml) selama 3 minit. g/ml dan 237μ g/g. Metabolit utamanya pada manusia ialah alkohol daunorubicin. Jumlah kadar perkumuhan pada 24 jam ialah (11.8 ± 5.1) Buku Kimia %, di mana daunorubicin (6.33 ± 2.93) %, daunorubicinol (5.3 ± 2.48) %. Separuh hayat pengedarannya (T1/2) adalah 0.07 jam; Penghapusan separuh hayat (T1/2) 2. 86 jam, separuh hayat (T1/2) Itu 97.3 jam.
Petunjuk
Daunorubicin hydrochloride digunakan untuk leukemia myeloid akut dan leukemia limfoblastik akut, serta penyakit akut kronik.
Tindakan dan mekanisme farmakologi
Daunorubicin hydrochloride adalah agen anti-tumor spesifik cyclide. Ujian haiwan telah menunjukkan bahawa ia mempunyai kesan pemanjangan hidup pada leukemia L1210 tetikus, dan ia juga menunjukkan kesan tertentu pada aminomethylfolate, 6- mercaptopurine dan 5- sel-sel sel fluorouracil fluorouracil. Di samping itu, ia mempunyai kesan pemanjangan hidup terhadap tikus sarkoma Yoshida, dan telah menunjukkan keberkesanan pada cyclophosphamide, triethiophosphamide, 6- mercaptopurine, {8}} Mekanisme tindakan daunorubicin terletak pada proses sintesis asid nukleik sel, yang boleh secara langsung mengikat DNA dan menghalang sintesis DNA dan tindak balas sintesis RNA yang bergantung kepada DNA.
Maklumat keselamatan
Tanda Barang Berbahaya: xn, xi
Kod Kategori Hazard: 22-40-42/43-36/37/38-20/21/22
Arahan Keselamatan: 22-36/37-45-37/39-36-26
Kod Pengangkutan Barang Berbahaya: un 2811 6. 1/pg 3
WGK Jerman: 3
RTECS: HB7878000
F: 3-10
Tahap bahaya: 6.1 (b)
Pembungkusan Kategori III Kod Kastam 29419059
Ketoksikan LD50 pada tikus (mg/kg): 26 IV (DiMarco, 1969)
Cool tags: Daunorubicin Hydrochloride adalah antibiotik antitumor, China Daunorubicin Hydrochloride adalah pembekal antibiotik antitumor, teicoplanin ပ Antibi ိဇီဝဆေး, Dabigatran ပါးစပ်ကတ်ရောဂါ၏မျိုးဆက်သစ်မျိုးဆက်သစ်, LIBINEDEDININE အသေးစားဆဲလ်အဆုတ်ကင်ဆာ, ရေှ့နီ, Emothilone B antisnume B, basifungin

