Penerangan Produk
Nama Bahasa Inggeris: Tacrolimus monohydrate
Nombor cas: 109581-93-3
Formula molekul: C44H71NO13
Berat molekul: 822.05
Einecs no: 617-559-7
Kategori Berkaitan:
Kekotoran tacrolimus; bahan mentah perubatan; penapaian; bahan mentah farmaseutikal; sambungan kimia; bahan dadah; antibiotik; bahan mentah perubatan; reagen kimia; bahan mentah kimia; bahan mentah; Isyarat; bahan mentah kimia halus.
Fail mol: 109581-93-3. Mol
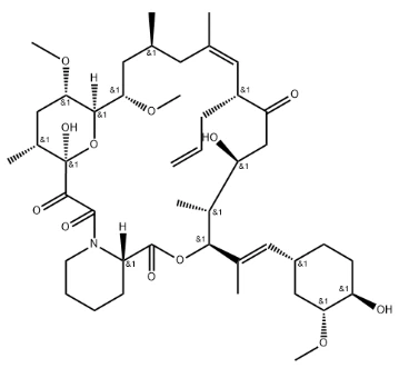
Formula Struktur:

Ttacrolimus monohydrate sifat
Titik lebur: 127-129
Putaran spesifik: D 23-84. 4 (C=1. 02 dalam kloroform)
Syarat Penyimpanan: -20 c
Kelarutan: DMSO: larut, 20 mg/ml
Borang: Serbuk
Warna: Putih hingga hampir putih
Merck: 14,9025
Inchikey: NWJQLQGQZSIBAF-MLAUYUEBSA-N
Menggunakan dan kaedah sintetik Tacrotamus AS monohidrat
Bioaktiviti
Tacrolimus monohydrate (FK506 monohydrate) adalah sebatian makrolida. Tacrolimus monohydrate mengikat kepada protein mengikat FK506 (FKBP) untuk membentuk kompleks dan menghalang calcineurin (calcineurin phosphatase), dengan itu menghalang isyarat limfosit T dan IL -2 transkripsi. Dengan sifat imunosupresif yang kuat.
Tempat sasaran
PP2B (calcineurin fosfatase)
Inducer autophagy
Kajian in vitro
Tacrolimus monohydrate (FK506 monohydrate; fujimycin monohydrate; fr900506 monohydrate menghalang peristiwa bergantung sel squamous seperti IL -2 transkripsi gen, nitrik oksida, Progesteron pada FKBP yang terkandung dalam kompleks reseptor hormon, mencegah kemerosotannya. Kesan pada percambahan sel MH3924A (p =0. 135).<0.01). Treatment with AMD3100 concentrations (10, 50, or 100 μ g/L) had no significant effect on the proliferation of MH3924 cells (P>0. 05). Walau bagaimanapun, apabila kepekatan AMD3100 yang berbeza digabungkan dengan acrolimus 100 μ g/l, percambahan in vitro MH3924Acell meningkat (p<0.01).
Dalam penyelidikan vivo
Kesan terapeutik tacrolimus telah dikaji untuk perkembangan dan kegigihan kolitis dengan menggabungkan tacrolimus dengan rawatan natrium dextran (DSS) pada tikus dari hari ke -10 hingga 16 atau hari 23. Haiwan kawalan yang dirawat dengan DSS dibandingkan dengan haiwan biasa. Di samping itu, berat kolon per unit panjang dalam kumpulan kawalan adalah lebih daripada dua kali ganda daripada kumpulan kawalan kimia. Walaupun rawatan dengan tacrolimus selama 7 dan 14 hari dengan ketara menghalang peningkatan berat kolon per unit panjang dalam haiwan yang dirawat DSS berbanding dengan kumpulan kawalan, rawatan ini tidak benar -benar memulihkan pemendekan kolon. Di samping itu, kesan perencatan tacrolimus pada peningkatan berat kolon per unit panjang lebih ketara dalam 14 hari dan 7- rawatan hari, seperti yang ditunjukkan oleh peratusan perencatan (59% vs 28%).
Maklumat keselamatan
Tanda Berbahaya: T.
Kod Kategori Hazard: 25
Arahan Keselamatan: 45
Nombor Pengangkutan Barang Berbahaya: un 2811 6. 1 / pg 3
WGK Jerman: 3
RTECS NO: KD4201200
Tahap bahaya: 6.1
Kategori Pembungkusan: III
Kod Kastam: 2934990002
toxicity:LD50i.p.inmice:>2 0 0mg/kg (kino); lchemicalbookd50inmale, femalerats (mg/kg): 57.0,23.6iv; 134,194 secara
Cool tags: Tacrolimus monohydrate antibiotik imunosupresan, China tacrolimus monohydrate antibiotik imunosupresan pembekal, isavuconazonium sulfate antifungal မူးယစ်ဆေးဝါးများ, Josamycin, daptomycin ပ antib ိဇီဝဆေး, 946075-13-4, Rocuronium bromide ကြွက်သားကြွက်သားအပန်းဖြေ, Atracurium Bledylate Skeletal ကြွက်သားအပန်းဖြေ

