Penerangan Produk
Nama Bahasa Inggeris: Tirzepatide
Nombor cas: 2023788-19-2
Formula molekul: C225H348N48O68
Berat molekul: 4813
Nombor EINECS: 200-001-8
Kategori yang berkaitan
Polipeptida; Perencat molekul kecil; Peptida katalog; Polipeptida; Polipeptida dadah; Polipeptida kecantikan; Peptida dadah; Bahan mentah farmaseutikal; Yang lain; Produk baru; API; API; Belka Staple
Fail mol: 2023788-19-2. Mol
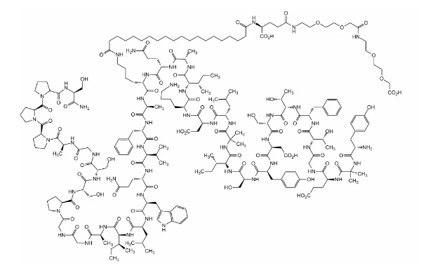
Formula Struktur:

Sifat tilpotide
Penyimpanan: Simpan di -20 ijazah
Kelarutan: Dibarunkan dalam dimetil sulfoksida
Borang: pepejal
Warna: Putih ke Beige
Urutan: Tyr- {AIB} -Glu-Gly-Thr-phe-thr-ser-asp-tyr-ser-ile- {aib} -leu-asp-ass-ala-ala-gln- {diacid-c 20- g Amma-glu- (aeea) 2- lys} -Ala-phe-val-val-gln-trp-leu-ala-ala-gly-gly-pro-ser-ser-gly-ala-pro-pro-pro-ser-nh2
Menggunakan dan sintesis tilpotide
Ubat hipoglikemik
tirzepatide (tirzepatide) adalah novel peptida seperti glukagon -1 reseptor (glp -1) dan polipeptida yang bergantung kepada insulin. Kedua -dua GLP -1 dan GIP tergolong dalam incretin, yang merupakan polipeptida yang dirembes oleh mukosa gastrousus. Bekas boleh mengikat kepada reseptor di sel -sel pulau kecil dan merangsang rembesan buku kimia islet, sehingga menghasilkan kesan hipoglikemik, melambatkan pengosongan gastrik dan menghalang selera makan, sehingga mengawal berat badan. Yang terakhir ini mempunyai fungsi menghalang asid gastrik, rembesan pepsin, merangsang pelepasan insulin, menghalang peristalsis gastrik dan mengosongkan, dan boleh menambah kesan agonis reseptor GLP -1. Tirzepatide menggabungkan kesan dua ubat yang mempromosikan insulin ke dalam molekul tunggal dan mewakili kelas baru ubat untuk rawatan diabetes jenis 2.

Molekul ini terdiri daripada rangka peptida sebanyak 39 asid amino dan rantai sampingan di Lys20. Daripada 39 asid amino, 37 secara semulajadi berlaku (atau dikodkan) dan dua adalah sisa asid isobutyric asid yang tidak semulajadi, bukan pengekodan pada kedudukan 2 dan 13.
Gunakan
Tirzepatide mempunyai urutan yang sama dengan semaglutide, dan rantai sampingan Lys dalam urutan mempunyai pengubahsuaian PEG, yang merupakan kumpulan berfungsi polipeptida, dan dapat meningkatkan kelarutan air urutan. Fungsi fisiologi utama tirzepchemicalbookatide adalah polipeptida pemakanan insulin yang bergantung kepada glukosa (GIP) dan peptida seperti glukagon -1 (glp -1) Reseptor dua agonis, yang sedang dibangunkan untuk rawatan diabetes jenis 2 dan dimasukkan ke dalamnya.
Keselamatan
Profil keselamatan tilpotide adalah serupa dengan ubat incretin yang lain. Meta-analisis tujuh ujian terkawal rawak menunjukkan bahawa telpotida mempunyai tindak balas gastrousus yang lebih tinggi (seperti mual, cirit-birit, dan sembelit) daripada Amicalbook, tetapi kebanyakannya ringan hingga sederhana. Reaksi buruk lain, terutamanya hipoglikemia, tidak jauh berbeza antara kedua -dua kumpulan. Walau bagaimanapun, disebabkan oleh masa penyenaraian pendek, keselamatan sebenar masih perlu dipaparkan selepas penyenaraian.
Kesan hipoglikemik dan penurunan berat badan
Kajian Surpass adalah satu siri ujian terkawal rawak klinikal yang besar yang direka untuk menilai keberkesanan dan keselamatan telpotida pada pesakit diabetes mellitus jenis 2 (T2DM). Perbandingan kepala ke kepala dengan semaglutide melepasi 2 [1] adalah yang paling menarik, membandingkan tipotida 5mg (n =470), 1 0 mg (n =469), dan 15mg (n {9}} Telpotide dikurangkan HbA1c sebanyak purata 2.0%, 2.2%, dan 2.3%berbanding dengan asas HbA1c (8.3%), manakala semaglutide mengurangkan HbA1c sebanyak purata 1.9%. Dari segi penurunan berat badan, telpotida mengakibatkan purata penurunan berat badan 17, 21, dan 25 paun berbanding dengan berat badan asas (207 paun), berbanding dengan 13 paun untuk semaglutide. Eksperimen menunjukkan bahawa tilpotide menunjukkan keupayaan hipoglikemik dan penurunan berat badan yang lebih baik daripada semaglutide.
Satu lagi kajian besar yang mendaftarkan 2,539 orang dewasa dengan sekurang -kurangnya satu komplikasi obesiti (tidak termasuk diabetes) dengan indeks jisim badan (BMI) lebih besar daripada atau sama dengan 30kg/m2 atau lebih besar daripada atau sama dengan 27kg/m2. Semua subjek secara rawak dibahagikan kepada tipotide Chemicalbook5mg, 10mg, 15mg dan plasebo kumpulan dalam perkadaran yang sama. Keputusan menunjukkan bahawa berat badan setiap kumpulan menurun sebanyak 16.1kg, 22.2kg, 23.6kg dan 2.4kg, pada 72 minggu [2]. Kesan penurunan berat badan tilpotide adalah setanding dengan pembedahan penurunan berat badan.
Polipeptida
Tilpotide mempunyai urutan yang sama dengan semaglutide. Rantaian sampingan Lys dalam urutan mempunyai pengubahsuaian PEG, yang merupakan kumpulan berfungsi polipeptida dan dapat meningkatkan kelarutan air urutan. Fungsi fisiologi bahan kimia utama Telpotide adalah polipeptida pemakanan insulin yang bergantung kepada glukosa (GIP) dan peptida seperti glukagon -1 (glp -1) Agonis dua reseptor, yang sedang dibangunkan untuk rawatan diabetes jenis 2 dan telah memasuki peringkat klinikal.
Standard kualiti rujukan
Penampilan: Serbuk Putih
Kesucian (HPLC): lebih besar daripada atau sama dengan 95. 0%
Kandungan asid asetik: 5. 0% ~ 12. 0%
Kandungan kelembapan: Kurang daripada atau sama dengan 8. 0%
Kandungan peptida: lebih besar daripada atau sama dengan 7 0. 0%
Analisis Komposisi Asid Amino: Kurang daripada atau sama dengan ± 10%
Cool tags: ubat hipoglikemik tirzepatide, pembekal ubat hipoglikemik China Tirzepatide, 873857-62-6, Mitomycin C ကျယ်ပြန့်ရောင်စဉ်ပ anti-telis antibiotics, 152044-54-7, 114899-77-3, 1712228-49-2, teicoplanin ပ Antibi ိဇီဝဆေး

